cons is one of the core Scheme
procedures. Most typically, cons is applied to two arguments, a value
and a list, and we think of it as prepending the value to the front of the
list. You also know from experimentation that cons can not take fewer
than two arguments nor more than two arguments. You have also found that
cons can still be called with a non-list as the second argument, and in
this case the thing built has a strange dot before that element. In this
reading, we consider what is happening behind the scenes when you call
cons. We also use cons to build structures other than lists.
Before we explore pairs, we’ll take a quick detour to remind you of one of Scheme’s other key data types, the symbol. Symbols look a lot like words (and perhaps even strings), except that they don’t have quotation marks around them. Internally, Scheme uses symbols for all of the names that you write in your program. Many Scheme programmers find them useful when they just need a simple, readable, value to pass around. You’ve seen symbols as parameters into many of the procedures we used to create images.
You write symbols with a single quote mark (', which we also call
a “tick mark”) and the word you want to serve as a symbol. For
example, 'aardvark is a symbol that corresponds to the word
“aardvark” and 'zebra is a symbol that corresponds to the word
“zebra”.
When some versions of Scheme print out symbols, they do not give you the single quote symbol. Fortunately, DrRacket is a bit nicer.
> (quote aardvark)
'aardvark
> (list (quote aardvark) (quote zebra))
'(aardvark zebra)
> aardvark
reference to undefined identifier: aardvark
Symbol are atomic. Unlike strings (which symbols seem to resemble),
symbols do not support procedures, like string-ref or substring,
that extract some part of the symbol.
Hence, there are really only a few procedures applicable to symbols:
symbol? checks whether a value is a symbol and both eq? and equal?
can be used to compare symbols.
Why would we use symbols, if those are the only available procedures? Because they’re simple and sometimes a bit more fun than numbers. Why do we remind you of them now? Because they’re also nice to use in diagrams, and we have a lot of diagrams in this reading.
As we have seen, Scheme uses cons to build lists. As you may
recall, cons takes two arguments. Up to this point, the first
element has been a value and the second has been a list. When you
call cons, Scheme (Racket, DrRacket, something like that) actually
builds a structure in memory with two parts, one of which refers
to the first argument to cons and the other of which refers to
the second. This structure is called a cons cell or a pair.
Let us now consider a graphical way to represent the result of a call
to cons. The basic idea is to use a rectangle, divided in half,
to represent the result of the cons. From the first half of the
rectangle, we draw an arrow to the first element of a list, its car;
from the second half of the rectangle, we draw an arrow to the rest
of the list, its cdr. When the cdr is null (the empty list), we draw a
diagonal line through the right half of the rectangle to indicate that
the list stops at that point.
For instance, the value of the expression (cons 'a null) would be
represented in this notation as follows:

Since the value of the expression (cons 'a null) is the list '(a),
this diagram represents '(a) as well.
Now consider the value of the expression (cons 'b (cons 'a null)),
or in other words, the list '(b a). Here, we draw another rectangle,
where the head points to b and the tail points to the representation of
(a) that we already have seen. The result is:

Similarly, the list '(d c b a) is the value of the expression (cons
'd (cons 'c (cons 'b (cons 'a null)))) and would be drawn as follows:

A similar approach may be used for lists that have other lists as
elements. For example, consider the list '((a) b (c d) e). This
list contains four components, so at the top level we will need four
rectangles, just as in the previous example for the list '(d c b
a). Here, however, the first component designates the list '(a), which
itself involves the box-and-pointer diagram already discussed. Similarly,
the list '(c d) has two boxes for its two components (as in the diagram
for '(b a) above). The resulting diagram is:

Throughout these diagrams, the empty list is represented by a null
pointer, a diagonal line. Thus, the list containing the empty list,
(()) – that is, the value of the expression (cons null null) –
is represented by a rectangle with lines through both halves:

While we consistently have discussed cons in the context of lists,
Scheme allows cons to be applied even when the second argument is not
a list. For example, (cons 'a 'b) is a legal expression; its value
is represented by the following box-and-pointer diagram:

You may have noticed that some of your lists ended with a dot before the last character. In fact, whenever Scheme is asked to print out a sequence of linked pairs that don’t end with null, it uses dot notation, as in (a . b). Here, the dot indicates that cons has been applied, but the second argument is not a list. Similarly, the value of (cons 1 'a) is the pair (1 . a), and the value of (cons "Steele" "Sussman") is ("Steele" . "Sussman"). Using a box-and-pointer representation, this last result would be drawn as follows:

The car and cdr procedures can be used to recover the halves of one
of these improper lists:
> (car (cons 'a 'b))
'a
> (cdr (cons 'a 'b))
'b
Note that the cdr of such a structure is not a list.
When Scheme tries to print out a pair structure, it uses what we might call an optimistic assumption. If the next thing is null or a pair, it assumes that it’s a list, and therefore uses a space before the next object. When it hits the end and finds no null, it inserts the dot there, but not earlier.
The pair? predicate returns #t when it is given any structure that is printed as a dotted pair, or indeed any structure that cons can possibly return as its value. (Basically, pair? determines whether the object it is given is one of those two-box rectangles.)
Note that all lists are pairs, but not all pairs are lists.
> (pair? (list 1 2 3 4))
#t
> (list? (list 1 2 3 4))
#t
> (pair? (cons 1 'a))
#t
> (list? (cons 1 'a))
#f
The distinction is that lists always end in null.
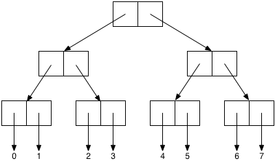
Just as lists can be nested within lists, so pairs can be nested within pairs, as deeply as you like. For instance, here is a pair structure that contains the first eight natural numbers:

To build this structure in Scheme, we can use repeated calls to cons, thus:
(cons (cons (cons 0 1)
(cons 2 3))
(cons (cons 4 5)
(cons 6 7)))
or we can use the dotted-pair notation inside a literal constant beginning with a quote:
'(((0 . 1) . (2 . 3)) . ((4 . 5) . (6 . 7)))
(As we’ve said previously, we’d prefer that you use cons rather than
quote to build structures.)
If we have a pair structure that is constructed by repeated invocations of
cons, starting from constituents of some simple type such as numbers
or strings, we call such a structure a tree. (We often prefix the
word tree with the type from which the tree is built, such as number
tree; alternately we suffix the word tree with of and then the type,
as in tree of numbers.) We will look at trees in some more depth in a later
reading. For now, let’s consider a basic approach.
In particular, when we are dealing with a tree, we can use pair
recursion, which adapts the shape of the computation to the shape of
the particular pair structure on which we operate. In pair recursion,
the base cases are the values that are not pairs, and must therefore
be operated on directly. For the non-base cases – those that are pairs
– we invoke the procedure recursively twice (once for the car, once
for the cdr) and combine the values of the recursive calls to get the
final result of the operation.
For instance, here is how we’d find the sum of the numbers in a pair structure like the one diagrammed above.
;;; (sum-of-number-tree ntree) --> number?
;;; ntree : pair?, represents a number tree. It consists only
;;; of numbers and cons cells
;;; Sums all the numbers in ntree.
;;; Postconditions:
;;; The result is the sum of all numbers in ntree.
(define sum-of-number-tree
(lambda (ntree)
(if (pair? ntree)
(+ (sum-of-number-tree (car ntree))
(sum-of-number-tree (cdr ntree)))
ntree)))
> (sum-of-number-tree (cons (cons (cons 0 1)
(cons 2 3))
(cons (cons 4 5)
(cons 6 7))))
28
When this procedure is applied to a base case – that is, just a number rather than a collection of numbers fitted into a pair structure – it returns the number unchanged:
> (sum-of-number-tree 19)
19
There is no such thing as an empty pair analogous to an empty list. Every
pair has exactly two components, and it is always valid to take the car
and the cdr of a pair. So the base case for a pair recursion is just
any value that is not itself a pair.
You may be wondering why we pay so much attention to these pair things. (You’ll probably be wondering why we ask you to pay so much attention after doing the lab). There are a few reasons. First, we find that students better understand lists (and related structures) if they have an understanding of what’s going on behind the scenes. Second, there are many instances in which we are better off building trees (like those above) than lists. Third, pair structures provide an additional mechanism for thinking about recursion.
The pair structures also reveal a bit about Scheme terminology. In the
first computers on which LISP (the forerunner of Scheme) was implemented,
there was an underlying memory structure that had two cells, which made
it a convenient way to implement pairs. On that computer, the operations
used to remove values from the structure were car (shorthand for
“contents of address register”) and cdr (shorthand for “contents
of decrement register”, even though some people mistakenly claim it
stands for “contents of data register”).
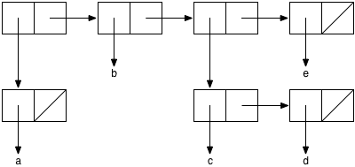
The way we have drawn pair structures above makes it easy to think about
car and cdr operation. Reading from the inside out, you simply
follow the arrow from the left side of the pair for car or the arrow
from the right side of the pair for cdr.
a. Using this strategy, find the values corresponding to the following commands applied to the structure repeated below.

caarcadrcaaddrb. Using an analog of the visual strategy, what sequence of commands
would you need to extract the 'e and 'd, respectively?
a. How does the base case test for pair recursion differ from the base case test for other types of recursion you have seen?
b. Why are there two calls to sum-of-number-tree in its recursive case?